在线配资网站-10倍杠杆涨跌怎么理解的-【东方资本】,杠杆炒股费用,股票加杠杆会亏到负债吗为什么,a股能用杠杆吗

新聞中心

ZWIN-AQMS08 微型環境空氣質量監測系統

ZWIN-AQMS08 微型環境空氣質量監測系統

產品中心 空氣質量 5921 0

ZWIN-AQMS08 微型環境空氣質量監測系統

功能參數

  • 監測因子:SO2、NO2、O3、CO、PM2.5、PM10、TVOC、噪聲、風速、風向、溫度、濕度、大氣壓(可選配)
  • 采樣方式:擴散式
  • 數據傳輸:1-60min(可調)
  • 供電方式:太陽能、市電互補
  • 系統功能:遠程控制
  • 絕緣強度:≥20MΩ

規格參數

  • 箱體尺寸(長*寬*高):270*140*350mm
  • 箱體材質:高碳鋼噴涂(防風、防雷、防雨、散熱保溫)(可定制絲印)
  • 通訊方式:2G/3G/4G/RS485/Modbus

 

電話咨詢

 

ZWIN-AQMS08微型空氣質量監測儀是我司推出的一款用于提供室外空氣污染物 實時、準確監測的產品相比于ZWIN-AQMS06此款釆用擴散式釆樣方法,氣體釆樣監測與供電傳輸單獨進行,采用太陽能節能供電,降低能耗,也可選擇市電。 此微型環境空氣質量監測系統體積輕小,外形美觀,安裝方便,其成本比基于分析儀構建的傳統型參考站低3~5倍,可根據現場進行校準,確保其具有最佳的可追溯性。

特點:
1、采用分離式氣體監測與數據傳輸結構,安裝靈活、拆卸方便、不易破損、便 于運輸;
2、移動式SD卡,隨時更新替換升級程序,支持本地查看數據,本地存儲可保存 2年;無需插拔SD卡,可遠程升級程序;
3、具有報警聯動功能,可以通過設置預警值控制治理設備的開啟和閉合;
4、根據定制需求,設備可在箱體上拓展其他監測接口;
5、集成GPRS無線通訊技術,實時監測大氣環境數據,成本低,適合網格化布點;
6、質量好,價格低,適合網格化;
7、國外原裝進口四電極氣體傳感器,性能穩定、分辨率高;
8、模塊化產品設計,方便后期維護;
9、內置觸摸屏,完美展現各監測指數;
10、實時通過無線網卡上傳到云平臺上,進行大數據分析;
11、擴容性強,氣體,氣象五參數,噪音等都可選配;
12、配件齊全,太能陽供電,固定支架等應有盡有;
13、環境使用范圍廣,風沙、雨雪及揚塵等惡劣天氣均可。

名稱
規格/明細
設備
太陽能板
45°安裝視角,使面板獲得最大陽光照射面積。
微型空氣站
配置防風防雨百葉箱,采用抱箍式固定;

獨立的空氣質量監測箱,采用懸掛式安裝,保證采樣充分。
顆粒物傳感器
檢測原理:光散射原理;分辨率:0.1ug/m3;

粒徑通道:PM2.5、PM10、TSP;檢測范圍:0~1000ug/m3;
氣體傳器
NO2:測量范圍/分辨率:0-1/0.001ppm

采樣精度:±2%FS
CO:測量范圍/分辨率:0-10/0.01ppm

采樣精度:±2%FS
SO2:測量范圍/分辨率:0-1/0.001ppm

采樣精度:±2%FS
O3:測量范圍/分辨率:0-1/0.001ppm

采樣精度:±2%FS

氣體(SO2、NO2、CO、O3)檢測原理:電化學原理

電化學傳感器的最簡單形式是兩電極——工作電極和對電極,它們被一層很薄的電解液隔開,并與一個低阻的外部電路相連。氣體透過多孔透氣膜(Capillary Diffusion Barrier)作用于工作電極(S)表面,經氧化或還原反應,引起電流通過外部電路在兩極之間流動,該電流與氣體濃度成正比,可以通過外部電路上的負載電阻測得。

為了保證測量結果的準確性,工作電極(S)必須被限定在一個特定的電位。然而,當氣體濃度增加時,電流也隨之增加,使極化電極——對電極(C)的電位發生變化。由于工作電極(S)與對電極(C)之間是通過外電路負載電阻相連的,所以當對電極(C)電位發生變化時,工作電極(S)的電位也會隨之發生變化。如果氣體濃度繼續上升,工作電極(S)的電位將最終超出它的允許范圍,導致傳感器的線性遭到破壞,影響測量的準確性。為了克服這種現象,就要加入參比電極(R)及外部的恒電位電路,使工作電極(S)保持在一個與參比電極(R)相對穩定的電位。由于參比電極(R)不汲取電流,所以兩個電極都可以保持一個恒定的電位,而對電極(C)依舊可以自由的極化,不會影響工作電極(S)的電位,減少了對傳感器的限制,所以這種三電極的傳感器測量范圍非常寬,而且靈敏度很高,可以測定到ppm水平。

電化學原理

恒電位電解式傳感器應用電路實例

 

此外,恒電位電解式傳感器可以通過選擇不同的催化劑,來測定不同的氣體。每種氣體在工作電極(S)產生的氧化或還原反應都可以用標準的化學公式來描述,以一氧化碳傳感器為例:Carbon Monoxide (CO):

CO + H2O ?CO2?+ 2H+ + 2e-

其它傳感器:

  Hydrogen Sulphide (H2S):     H2S + 4H2O ?H2SO4?+ 8H+?+ 8e-

  SulphurDioxide (SO2):       SO2?+ 2H2O ?H2SO4?+ 2H+?+ 2e-

  Nitric oxide (NO):        NO + 2H2O ?HNO3?+ 3H+?+ 3e-

  Nitrogen dioxide (NO2):      NO2?+ 2H+?+2e-??NO +H2O

  Hydrogen (H2):          H2??2H+?+ 2e-

  Chlorine (Cl2):         Cl2?+ 2H+?+ 2e- ?2HCl

  Hydrogen Cyanide (HCN):     2HCN +Au ?HAu(CN)2?+ H+?+e-

  Ethylene Oxide (C2H4O):     C2H4O + 2H2O ?C2H4O3?+ 4H+?+4e-

  Ammonia (NH3):         12NH3?+ I2?+ 6H2O ?2IO3-?+ 12NH4+?+ 10e-

在對電極(C)上的反應與工作電極(S)的反應響抵。如果在工作極上發生氧化反應,氧氣減少,在對電極上形成水;反之,如果在工作極上發生還原反應,對電極上的水將被氧化。在對電極上的反應為:

?O2?+ 2H+?+ 2e-??H2O

將兩個電極的反應概括起來(以一氧化碳為例)可以寫成:

2CO + O2 ?2CO2

由上式可以看出,氧化或還原反應的燃料是由氣體向傳感器提供的,并產生一個釋放氣體。換句話說,傳感器只是一個供給反應用的催化劑。

電化學結構圖

檢測原理動圖

電化學檢測氣體原理

 

顆粒物(PM2.5、PM10)檢測原理——激光散射法

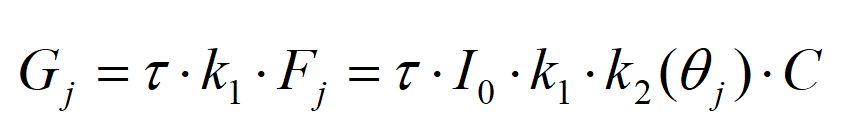
激光散射法測定顆粒物的原理?是基于?光散射理論。當激光束通過含有顆粒物的氣體時,顆粒物會阻擋光束,導致光束發生散射。散射光的傳播方向與主光束的傳播方向形成一個夾角θ,θ的大小與顆粒的大小有關。顆粒越大,產生的散射光的θ角就越小;顆粒越小,產生的散射光的θ角就越大。通過測量不同角度上的散射光的強度,可以推算出顆粒的?粒徑分布。

激光散射法原理

 

對于光束上某一散射角,散射光能和相機響應灰度值關系為:

對于光束上所有的散射角,散射光能和相機響應灰度值關系為:

 

光散射原理圖

 

檢測原理動圖

激光散射法檢測顆粒物原理

 

 

標簽:微型空氣質量監測儀空氣質量 上一篇: 下一篇:

您好!請登錄

點擊取消回復
    展開更多
    在線咨詢

    loading...